

 |
|
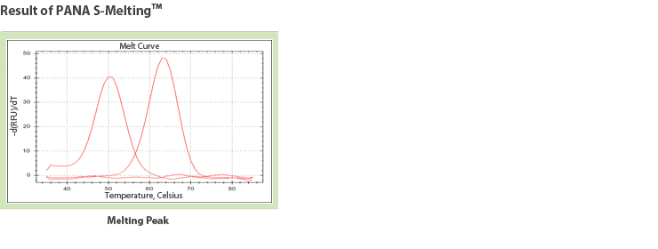
PANA S-Melting⑩(PNA probe-based fluorescence melting curve analysis) based on the change in fluorescent signal as a sample thermally denatured (melting temperature shift). PNA probe-based fluorescence melting curve analysis (PANA S-Melting⑩) is a powerful tool for mutation detection (screening and genotyping) by a single probe. PANA S-MeltingTM can be distinguished multiple SNPs adjacent to each other on a short target region. This method offers easy and simple data analysis without using analyzing software because of its clarity of melt peak. PANA S-Melting⑩ can be applied in the field of personalized medicine, origin discrimination and detection of multidrug-resistant microorganisms.
|
|
 |
|
 |
|
 |
|
PANA S-Melting⑩ can be detectable up to 12 targets in one tube reaction if 4 probes each labeled with a different fluorophore are used.
|
 |
 |
|
1
|
Luo J.D. et al., Detection of rare mutant K-ras DNA in a single-tube reaction using peptide nucleic acid as both PCR clamp and sensor probe. Nucleic Acids Res 2006;34(2):e12. |
|
|
1
|
Andreas N. et al., Detection of Orthopoxvirus DNA by Real-Time PCR and Identification of Variola Virus DNA by Melting Analysis. J. Clin. MIicrobiol. 2004;42(3):1207-1213. |
|
|